Número aúreo

El planteamiento de la proporción aúrea:

(ec. 1)

Suponga:

Las raíces de la ecuación son los valores de b. Solo es posible geométricamente el valor positivo:

(de ec. 1)

La proporción aúrea es:

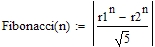
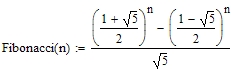
La relación con la serie de Fibonacci

La serie de Fibonacci puede ser definida también como:

O sea:

Ejemplo

Considere la variable índice:

La serie arroja: