SISTEMAS AFINES DE COORDENADAS CON CAMBIO DE BASE

Ecuación de la rodonea

Suponga que se tienen los siguientes puntos A,B,C,O y se desea "colocar" una rodonea en los planos definidos por los triángulos formados por éstos.

A continuación se determinarán las matrices de cambio de base para los planos deseados.

SISTEMA DE EJES DEL TRIANGULO A-B-C

El centro del triángulo A-B-C está definido por:

Suponga que el eje X estará definido por el segmento de recta entre los puntos A y el centro del triángulo.

Eje #0 del sistema ABC

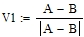
El eje Z estará en la normal al plano del triángulo formado por los vectores V1 y V2. Estos vectores son definidos por los segmentos de recta entre los puntos A-B y A-C.

Eje #1 del sistema ABC

Como consecuencia de la determinación de los ejes X y Z, el eje Y se calcula ortogonal a ellos.

Eje #2 del sistema ABC

Cambio de base

La matriz de cambio de base es por lo tanto:

SISTEMA DE EJES DEL TRIANGULO A-B-O

El centro del triángulo A-B-O está definido por:

Suponga que el eje X estará definido por el segmento de recta entre los puntos A y el centro del triángulo.

Eje #0 del sistema ABO

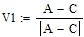
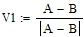
El eje Z estará en la normal al plano del triángulo formado por los vectores V1 y V2. Estos vectores son definidos por los segmentos de recta entre los puntos A-B y A-O.

Eje #1 del sistema ABO

Como consecuencia de la determinación de los ejes X y Z, el eje Y se calcula ortogonal a ellos.

Eje #2 del sistema ABO

Cambio de base

La matriz de cambio de base es por lo tanto:

SISTEMA DE EJES DEL TRIANGULO A-C-O

El centro del triángulo A-C-O está definido por:

Suponga que el eje X estará definido por el segmento de recta entre los puntos A y el centro del triángulo.

Eje #0 del sistema ACO

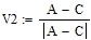
El eje Z estará en la normal al plano del triángulo formado por los vectores V1 y V2. Estos vectores son definidos por los segmentos de recta entre los puntos A-C y A-O.

Eje #1 del sistema ACO

Como consecuencia de la determinación de los ejes X y Z, el eje Y se calcula ortogonal a ellos.

Eje #2 del sistema ACO

Cambio de base

La matriz de cambio de base es por lo tanto:

Gráfica 3D

Los valores de la gráfica son:

lower limit:

upper limit:

resolución: