SERIES

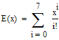
Considere la serie de Taylor de 7 términos para la función e:

y puede escribirse de la forma:

la evaluación de la función para

que puede compararse con la función interconstruida:

Obsérvese que la exactitud del resultado depende del número de

términos y el argumento x. El valor de x aumenta, debe aumentar

el número de términos.

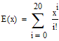
La forma abreviada se presta mejor para ello. Con n=20:

La serie del seno es

y puede escribirse de la forma:

La función S puede ser desglosada:

la evaluación de la función para

que puede compararse con la función interconstruida: